In recent times Glen Eira councillors rubber stamped the requisite ‘governance’ and ‘meeting procedure’ rules. The only change of note was that we now have a de facto ‘Notice of Motion’ which is anything but a real Notice of Motion since it only applies to the removal of the Mayor and Deputy Mayor.
Glen Eira has been stubbornly opposed to implementing anything which would provide councillors with the opportunity to have something go on the agenda for open, transparent discussion in a timely manner. The argument is that a Request for a Report is a satisfactory substitute and that without officer/expert input poor decisions can be made. This of course is pure rubbish given that officer feedback and responses to the proposed Notice of Motion are then included for the discussion – this happens in Bayside, Kingston and numerous other councils.
The other problem with this argument is that a Request for a Report can take anything up to 8 months in Glen Eira to be tabled at a council meeting. Hardly ‘timely’!!!
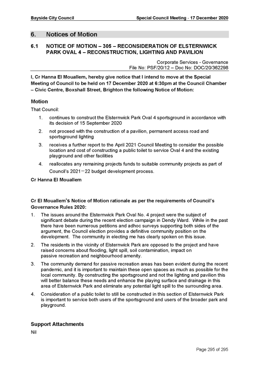
Notice’s of Motion we maintain are integral to good governance and to allow councillors to effectively do the job they were elected to do. As an example we have uploaded the current proposals from Bayside City Council. Readers should note the following:
- An acknowledgement of the contentious nature of the pavilion/open space issue and community feedback
- The implications for budgets and the desire to save money that can then be re-distributed elsewhere (all of course with the added pressure of COVID)
- Concern about passive open space and footprints of proposed buildings
All of the above are relevant in Glen Eira when we have:
- The Inkerman Road bike path issue
- The massive proposed expenditure on multi level car parking in Bentleigh & Carnegie
- The Carnegie Pool redevelopment that will cost a fortune
Naturally, this administration would never welcome a situation where councillors could and potentially would question budget decisions and policies in an open and transparent fashion where councillors would be given the opportunity to voice their concerns and potential opposition. That is anathema to a council determined to present the facade of a ‘unified front’ even when there is community opposition!
Please read carefully what Bayside councillors are allowed to propose and consider what such a ‘rule’ could achieve in Glen Eira!

December 14, 2020 at 12:28 PM
Agree 100%. Giving councillors and residents greater powers would never do.
December 14, 2020 at 1:19 PM
It hasn’t been Glen Eira stopping the ‘Notice of Motion’ procedures being placed back in our governance rules. Its been mainly the Liberal aliened councilors that have kept Notice of Motion out of our governance rules, of course with support from a few old fossils like Magee and Pilling who couldn’t see or understand the difference between reports and NOM procedures.
Of course most councils have both reports and notice of motion at their disposal if needed.
Glen Eira is likely the only city council in Australia that doesn’t have these procedure’s within their local law, and that says a lot about our recent past ruling click of Liberal councilors mostly lead by ex Cr. Hyams. They were very authoritarian and learning toward right winged extremisms, where democracy is unimportant and control and power is forefront.
December 14, 2020 at 2:42 PM
Some 18 months ago, Ms. MacKenzie’s view on the matter was, “councillors should be given info only that is absolutely needed, not to overwhelm them. “
Dribble info to them? Who chooses what to tell them and what not to?
December 14, 2020 at 6:02 PM
Easy answer. The paid directors whose job relies on the bidding of the ceo.
December 15, 2020 at 8:34 AM
Most councillors learn to do as little as possible. To do otherwise means doing work resulting in alienating themselves from what the CEO and the other seat-warmer want or don’t want to do. Look at the Magee and Esacoff they have a combined 30 years of being councillors and what are priorities or vision/s. “more of the same”
Our councillors need recourses, having dedicated office space and a few dedicated fulltime staff (not employed by the CEO & not accountable to her either)) to serve and support their efforts would go a long way to restoring the mass imbalance the bureaucrats have over the councillors and residents.
As we know there is so much B/S in their reports and strategies and reply letters.
December 14, 2020 at 9:11 PM
Agenda’s with over 900 pages some over 1000 pay testimony to her strange logic.
December 15, 2020 at 8:28 AM
I thought we lived in a Democracy and councilors were our representatives. How can they represent us if they don’t know what is going on? If they can’t cope or don’t have the ability to deal with such important matters they shouldn’t have stood for council.
OR they should be supported to be able to deal with planning matters.
December 15, 2020 at 5:54 PM
Your correct in my way of viewing it 9 underfunded, unsupported councillors constricted to the CEO agenda is democracy.
Councillors have become figment of the past, in reality councillors are an unwanted appendage tacked onto underbelly of a corporation that has no idea how to fit councillors into their world.
We now live in a corporate construct that has these strange remnants of the past echoing in the public chamber.
I figure we should dispense with all this bull and become share holders, that way we could get the chance to vote out the CEO at the annual general meeting if she/he didn’t return us a dividend, whether social or monetary.
December 18, 2020 at 4:31 PM
While it is my policy not to reply to anonymous postings (and I think the moderators need to look at this issue of “keyboard warriors” hiding behind their anonymity), I will break that rule today.
We have 5 new councillors who are prepared to shake the tree if necessary – those who attended the last council meeting would have seen that in action. As one of those new councillors, I can advise that we are being given as much information as we request – and we are asking for a lot of additional information to inform us properly so that we are making decisions independent of council officers.
I will be preparing motions around a “harm reduction policy” for the effects of alcohol, drugs and gambling on ur residents, a “contact with planners” registry for example for the new year to debate and pass.
I do like the idea of independent support staff for councillors and will take that up with the CEO – however, that will cost us all more money, and wouldn’t we want to spend our rates on more open space, safer cycling routes and safer school zones? However, whatever we have asked for up to know has been delivered quickly and efficiently.
Councillors have two Tuesday night assemblies before each scheduled Council meeting to debate such motions and get them onto the Agenda paper. Agenda papers are only as long as the reports included in them – these reports include full planning documentation – each can run to up to 100 pages – and other reports such as the “Community Engagement Strategy” at last week’s Council meeting that needs to be approved before going to the community for feedback.
If you have practical ideas how we as councillors can help transparency and openness and more grassroots participation let’s hear from you!
Sorry for the long rant!!
December 18, 2020 at 5:55 PM
More than happy to hear from a councillor. It’s a rare event in GE.
I agree with you, Re- councillors have office space and support staff would be expensive.
Would it be worth considering GE cutting back on the expense of lawyers representing GE at some CAT hearing. Making the above revenue neutral “somehow” could be a good starting point.
December 19, 2020 at 10:55 AM
Thank you for your contributions and may they continue in the same vein. It is most encouraging to have councillors who are prepared and committed to listening to what residents say and want.
December 19, 2020 at 5:32 PM
Thank you D.Evans. I campaignec on a Greens platform of increased transparency and grass roots democracy. I will always put residents before profits.