The chasm between what council promises via its various policies and what actually happens is on full show with the proposed new governance and meeting procedure laws. (Item 8.3 in current agenda).
For starters, council’s Engagement Strategy tells us that residents will learn and understand how their feedback has influenced the final council decision. Here’s what page 25 of this strategy states:
Increase transparency about what the community feedback was, how it was considered and how it has influenced the decision.
Regularly publish on Council’s website what it was we wanted to know (we asked), what we heard from the community (you said), and how the feedback was used to influence Council’s decisions (we did).
The community will be able to see how their feedback has or has not influenced Council’s decisions.
Sounds great! In reality however nothing could be further from the truth. For item 8.3 of the agenda, there is not one word which explains why the views of residents were either ignored or, if genuinely considered, were rejected for inclusion in the final draft documents.
Adding further insult to injury, we have this comment in the officer’s report –
The full engagement summary report is provided as Attachment 4.
We have searched back over the past agenda items and this is the first time we have found the so called ‘engagement summary’. Adding to the confusion, it was only on the July 9th council meeting that resident responses were published. This was NOT labelled as the ‘engagement summary report’. So why has it taken until now for this ‘summary’ report to be put into the public domain? And as for the report itself it again falls well below what residents should expect in terms of objective and comprehensive reporting on resident feedback.
Item 8.3 continually refers to council following ‘best practice’. This term is mentioned 5 times in this item. On perusing the July 9th comments, one submission highlights what ‘best practice’ actually means by quoting from 6 of our surrounding councils and how they handle the notice of motion issue – Bayside, Monash, Boroondara, Kingston, Port Phillip and Stonnington. Why the final Glen Eira draft on this issue differs from ALL of these other councils is not explained or even mentioned. Residents have absolutely no idea as to why their recommendations and comments were ignored or ultimately incorporated. This practice does not adhere to the above quotes from council’s own engagement strategy!!!!!!!
Here is just one example of a resident’s views which did not eventuate in the final proposed draft. Again, no explanation as to why not!
While it may be helpful for those watching a meeting for officers to give the background to a report, if officers give the reasons for the recommendation, they are effectively debating the motion. This is not the role of officers. It should be left to the councillor moving the motion and the other councillors who support it to do this. As well as officers intruding into the role of councillors, it would also put those councillors who disagree with the recommendation, as is the absolute right of any councillor, in the awkward position of having to publicly disagree with the officer who has just spoken. This could also cause ill will on both sides, and is therefore detrimental for cohesion between officers and councillors.
Contrary to this recommendation, council proposes instead:
Before an Officer Report is considered by Council and any motion moved in relation to such report, the Chief Executive Officer may, at the invitation of the Chair, introduce the report by setting out in not more than 2 minutes: 30.1.1 its background; or 30.1.2 the reasons for any recommendation which appears.
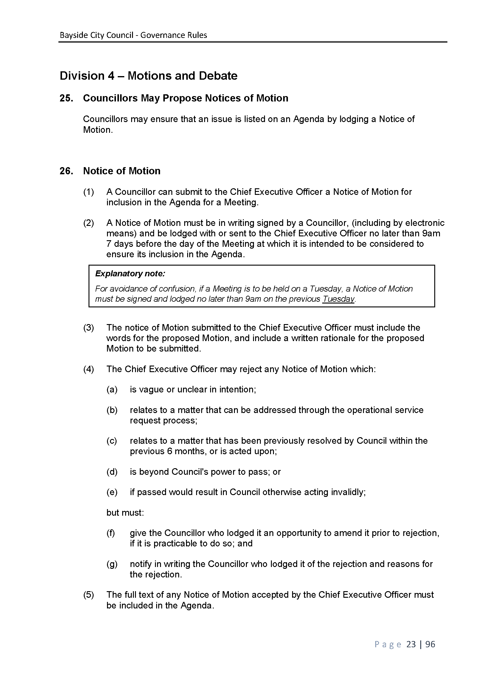
Even more baffling and unexplained is council’s new ‘arrangements’ for a notice of motion –

Questions abound:
- Why restrict notices of motion to more than 6 months out from an election? No other council we know of has done this!
- Why when certain councillors have voiced public opposition to the need of 3 signatories, is this still in place?
- 6 ‘business days’ in effect means at least 9 days prior to a council meeting
- Unclear if the officer report would be tabled at the designated council meeting or would this drag out for months until the report was written and tabled?
- Why can’t a notice of motion have anything to do with council policies?
Basically, what all of the above ‘conditions’ establish is the previous iteration of the mooted local law – an officer report that would take an eternity to eventuate. Given that the purpose of a notice of motion is the ability for councillors to get something onto the agenda, especially if it is urgent, this is simply another attempt to limit the input and autonomy of councillors.
By way of contrast, please see the following from Bayside and Boroondara and the ‘restrictions’ they place on their councillors via the notice of motion issue.


There are countless other examples where the final drafts fall well short of ensuring that governance in Glen Eira meets the full standards adopted by other councils. Unless processes are spelt out fully then all remains in the hands of this administration and/or is left to the poorly defined discretion of the Mayor.
It would appear that once again residents have had the wool pulled over their eyes. As a local law that in all probability will remain untouched for the next 10 years, it binds the upcoming future councils to a set of processes that are anything but explicit, democratic, and transparent. It seems that this administration is determined to keep full control in their hands and to sideline as much as legally possible both councillors and residents!
August 31, 2024 at 5:04 PM
Governance is almost non-existent in Glen Eira, but we should never give up fighting for improvements. From my own experience, we need definitions from Council when they use words or expressions with other than their ordinary meaning eg “best practice”. We need transparency and accountability eg who wrote the recommendation and why they are recommending it, including what matters were considered, and why community feedback was rejected. It is not good enough to wait until a Council meeting is in progress. I haven’t seen a justification for the draconian requirement that a Notice of Motion must be signed and submitted so far in advance of a meeting. It isn’t even clear if the CEO delays long enough, that can be used to reject again a rewritten submission since it is subject to the whims of an unelected bureaucrat. Council has in the past rejected public questions from me on the spurious grounds of length despite fitting in their mandatory word limit, yet accepted other public questions that go over the limit at the same meeting. The CEO is responsible, and as a result I’d prefer to see less trust rather than more in that individual. I’m still waiting for Council to do what it said it would do “in the coming weeks” 6 years later.
August 31, 2024 at 8:58 PM
The bureaucrats have always had trouble with the Notice of Motion requirements or even the need to have this democratic right. The Liberal party councilors have always been front and forward at keeping this out of our local law ever since it was thrown out under the administers under Kennett’s dictatorship well over two decades ago. Lets hope once in it’s used constructively to curb the bureaucrats excesses.
September 1, 2024 at 9:19 AM
So many variations in how this council operates. The various laws and policies mean nothing at certain times. The public responses I assume were out on July 9 and they were associated with banning placards for the main part. Other consultations and people’s responses didn’t get published. This one did. How come? What’s the reasoning? No consistency in anything.
Next we get 15 minutes for public questions and another 15 minutes for public participation. Why only 15 minutes when some issues have stacks of people up in arms who want a say. The 150 word limit is a joke and again not dealt with the same on all occasions.
Nothing makes sense when they can pick and choose what they want to do whenever they want. There’s no point in having policies, laws, strategies, if they keep getting ignored at times or enforced other times when it suits.
I’m also pissed off with the discretion stuff for the mayor. Not once has a reason been given for why she makes the decisions she does. I want a mayor who isn’t a mouthpiece for officers and who works for those people who pay her – us.