There are 3 agenda items down for decision this coming Tuesday which should set alarm bells ringing for residents. In this first post we concentrate on Item 9.3 – Council’s ‘position’ on the Ormond Railway development site.
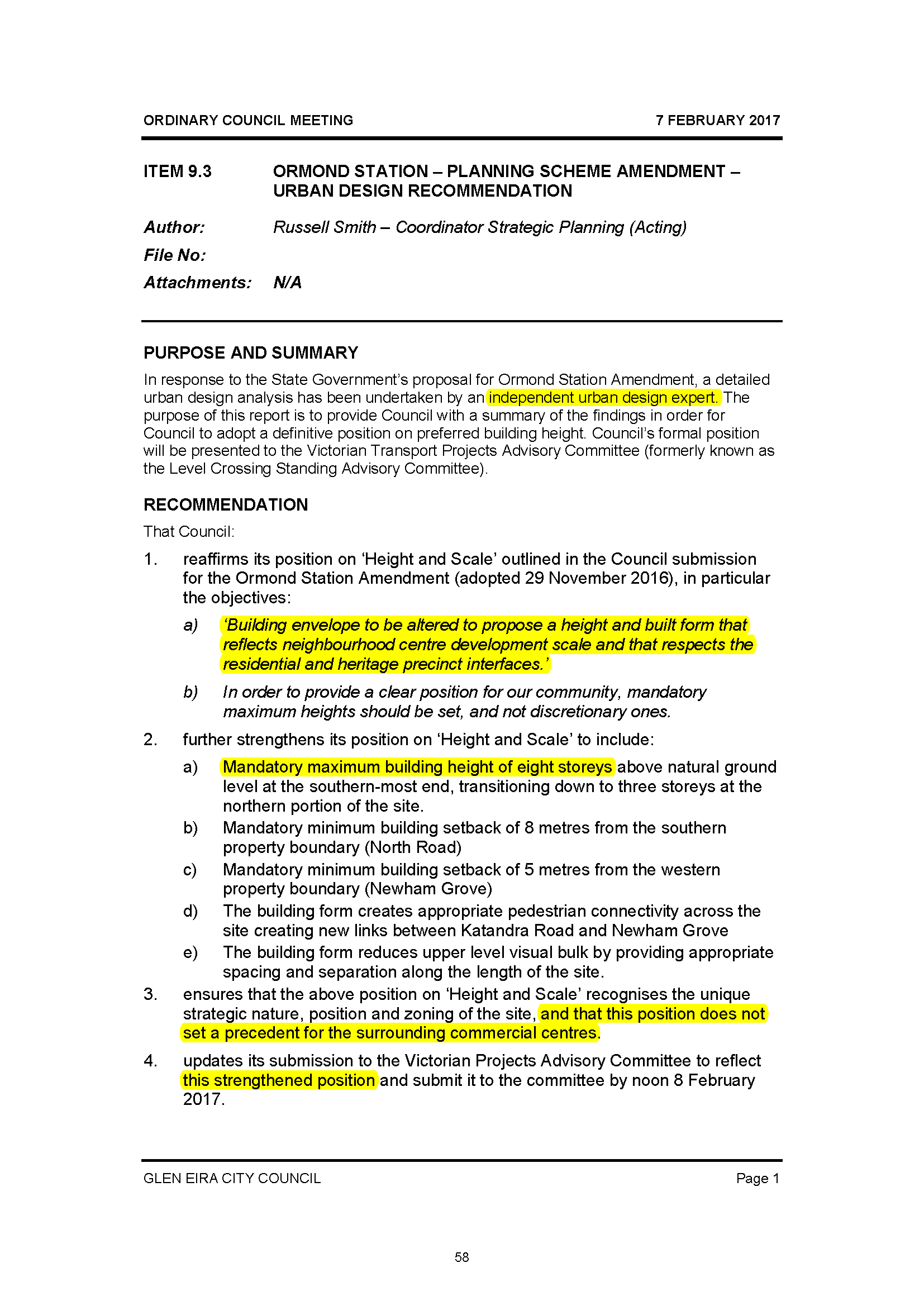
What is absolutely staggering about this report and its recommendation is that councillors ENDORSE A MANDATORY HEIGHT LIMIT OF 8 STOREYS!
This is staggering for the simple reason that it exceeds the proposed heights of 7 storeys in Carnegie and 5 storeys in Bentleigh that were nominated in the proposed Amendments for these activity centres. Thus we now have the ludicrous situation where a so called ‘neighbourhood centre’ with less shopping areas and surrounded by residential development is okay for 8 storeys and Carnegie and Bentleigh are deemed suitable for lesser height. Unbelievable shonky planning !
What makes matters even worse is that this recommendation by the ‘experts’ is not even in the public domain. Hence we have the situation where residents are denied access to the rationale which would support a recommendation of 8 storeys. So much for transparency and accountability!
Further, we are told in the officer report that: In order to form the strongest position possible, City Futures (ie Council) have sought an evidence-based approach to inform Council’s position for a preferred maximum building height. And what is this ‘evidence based’ data on? According to the report it consists of the following –
- Status of centre
- Precedents
- Typology
- Street wall ratio
- Solar Access
- Key View lines
- Transition
- Connectivity
We posit that none of the above is ‘evidence’ for an 8 storey apartment block. It might as well be 10 or 12 storeys! Nothing here would suggest that the following important issues have been considered – open space, infrastructure, parking/traffic, development in the area, retail business study, etc. etc. If this is the basis upon which such major decisions are being made, then God help us!
Even worse, is that once again there has not been a single round of ‘consultation’ between residents and council on how high anything should be in the municipality! The rhetoric is all about ‘consultation’. Pity that words never seem to match actions and decisions!

February 3, 2017 at 6:05 PM
I see this as a complete betrayal of the community. If these councillors vote this in then they should never be trusted again on anything. I’ve looked up the agenda and as the post says the Hansen report is not in there. That is unforgiveable. It is not commercial in confidence since we paid for it and we have a right to know exactly why this recommendation was made.
February 3, 2017 at 6:23 PM
In the conclusion of the officer report it states: “An independent urban design expert has provided Council with an evidence-based approach to determining a preferred maximum building height”. And yet that is self-evidently not true when the independent report is missing from the Agenda item. Council is our 9 councillors in a council meeting. Council staff are NOT “Council”. Any councillor going to be brave enough to take a stand on the lack of transparency and accountability involved? It is ridiculout to claim an “evidence-based” approach in a report that lacks evidence. Once again Council is being urged to make planning decisions without ever considering the objectives of planning in Victoria. Keep that up and they’ll qualify to be members of VCAT or State Parliament.
February 3, 2017 at 9:08 PM
“Any councillor going to be brave enough to take a stand on the lack of transparency and accountability involved?”
Your sentence is telling Reprobate. How the 5 new councillors respond will tell us a lot about the hoped for “culture change” in Glen Eira.
February 3, 2017 at 9:48 PM
It looks like that giant concrete base at ormond rail station has cost the taxpayers a bomb, and trying to sell it to a developer will be nigh impossible without a guarantee of a huge windfall for the developer/s that takes it on.
The so called independent expert has got out his phone calculator and done a 20 second calculation and come up with eight, fait accompli, we have been sold down the drain again.
February 3, 2017 at 10:29 PM
Labelling any planning document as “evidence based” comes close to being an oxymoron. Planning is anything but “evidence based”. It is opinion provided without a single shred of ratified “evidence”. Council’s and presumably the government’s call for “evidence based” planning is another example of hiding behind slick jargon that has no place in the world planning. The only “evidence based” reality is that Glen Eira City Council has been dismal in its planning and continues to be so.
February 3, 2017 at 11:48 PM
The last time land around a railway station was developed in Glen Eira was Elsternwick. The building is not only poor design but poor quality. It looks like it built 30 years ago when it is less than 15 years old. The same will happen in Ormond. The Government will screw every last cent out of the land and then the builder will build the cheapest 8 storey block of flats with a few shops. In 10 years it will be a shocker. Look at Elsternwick. The proof is there to see.
February 4, 2017 at 5:14 PM
Yes your observations are correct, bust sadly few people care, the shop owners and or business people nearby think it’s going to increase their custom, so they’re right behind it. The public transport nearby is already overloaded at peak times.
There is no sustainable thinking happening, chances are the building materials imported from China, they are not only second rate, but there is a fair chance they are polluted with lead and asbestos, or have fake rating stickers.
No one checking to see, customs staff have been decimated by Government cuts. They are checking something like one in forty containers, and then for contraband, not fake or dangerous building materials
It is a brave new world out there now, and it’s buyer beware. Lives are being put at risk for profit and god knows what else.
http://www.abc.net.au/news/2017-01-31/perth-childrens-hospital-lead-contamination-continues/8227248
http://www.theage.com.au/victoria/flammable-cladding-found-on-50-per-cent-of-new-melbourne-highrises-20160216-gmvrmo.html
https://www.accc.gov.au/update/infinity-cable-recall-act-now-before-its-too-late