Apologies for this long, long post. It concerns the agenda for Tuesday night’s council meeting. There are many items that deserve comment – some good, some bad, and some particularly atrocious and misleading!
THE GOOD
After years and years of complaint regarding council’s lack of transparency and accountability, there does appear to be some movement at the station –
- Item 9.8 recommends a tender be decided for telecasting both ordinary and special council meetings. We certainly welcome this and hope that those councillors who previously opposed such a move will now vote in favour. One proviso however is that no mention is made of when this will be up and running (if voted in).
- For the first time there is now a running sheet of motions to be put forward at the MAV state conference – including how council will vote on the various motions. Previously these were all decided behind closed doors, so again a welcome new initiative. However, we also note that the rationale behind council’s position on many of these motions has not been included.
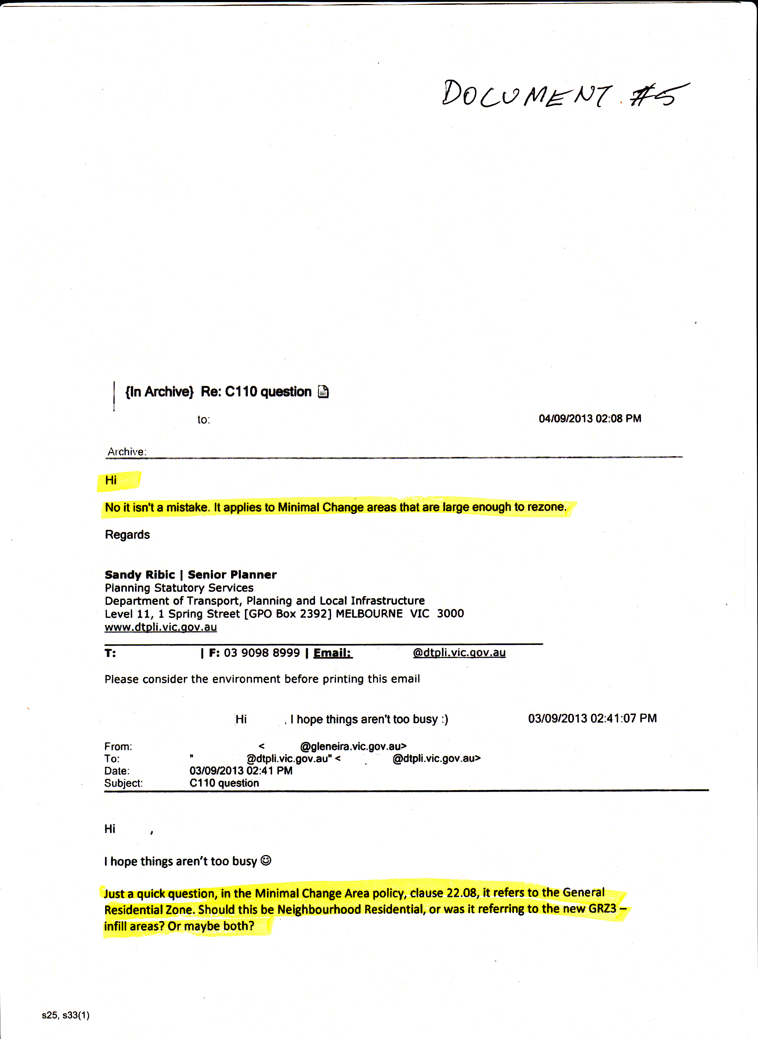
- Another item features the review of the Community Engagement Policy. One important advance is the promise to ‘monitor’ and ‘evaluate’ the outcomes. For some unknown reason however, the actual policy is not included in the online agenda!
THE BAD
The most important item for this section is council’s application for an extension on the interim height amendments for Bentleigh and Carnegie. The current amendment expires on December 31st 2017. Council is now requesting a one year extension. What this basically means is that residents will not have the structure planning work completed and gazetted for the major activity centres until at least mid 2019! Worth remembering is that there is not even any ‘interim’ protection for Elsternwick! Further, no mention is made of the current neighbourhood centres – these could be waiting well into the 2020’s! Our concern is that with the constant delays more and more development will occur that will undermine the very objectives of the structure planning work itself. For example: it will be very hard to argue for a 5 storey mandatory height limit when countless buildings already exceed this height and which leaves the door open for similar developments over the next 2 to 5 years. What is certain is that if development continues as it has, especially in neighbourhood centres, then any attempt to rein in development will be that much harder if not impossible!
The above leads onto questioning council’s whole approach to their planning process – namely:
- Why has it taken til now for those in power to realise that council’s approach to consultation has only now become ‘tangible’ to residents? What does this imply about the intent of the ‘consultation’? We have remarked previously on the lack of detail provided, the lack of strategic justification provided, the lack of genuine reporting of community feedback. From the first stage we have queried the validity of council’s approach – ie asking questions such as ‘what do you love about your shopping strip’ only serves to focus residents’ attention on the commercial strip itself. It does not guarantee that feedback will focus on the primary issues of development, open space, traffic, infrastructure, etc. As an example of what should have been done, and could have been done, readers may find the following screen dumps informative. They come from the Banyule consultation on Fairfield. Please note that the same consultants were used by Glen Eira. The difference in approach is staggering. Why is it that for the Banyule consultation this company included direct questions on height, traffic, etc. and in Glen Eira none of these queries were specifically included in the initial consultation. Surely the only reason to explain this is the brief provided to the consultants! In other words, hired guns again doing council’s bidding!
Plus some screen dumps of the initial ‘consultation’ processes employed in Banyule. Compare this with what Glen Eira did!

- Given the amount of work required why has it taken over a year to advertise for an additional 4 planning staff (ie consecutive ads over 2 weeks). And this is on top of continued planning applications, VCAT appeals, etc. and council repeatedly bemoaning the fact that they have been inundated with applications and that more and more cases end up at VCAT. This trend has been evident since the introduction of the zones but it has taken 4 years to act!
- Making matters even worse is item 9.2 in the agenda. For a ‘simple’ 2 double storey application in Thomas St, East Brighton, council couldn’t reach a decision in the required 60 days. This, despite the fact that they admit the following – The application was lodged on 28 November 2016. The application was advertised from 27 April until 15 May 2017 and 1 objection was received. The applicant lodged an appeal at VCAT on 6 September 2017 against Council’s failure to make a decision within 60 statutory days. Our sympathies to the developer in this instance since it is unfathomable why such an application should take forever to finalise! Of course, this means more money spent by ratepayers at VCAT! Please note we are not commenting on the merit of the application – merely on the unbelievable time lines.
- We also observe that in the past year or so the number of refusals for 2 double storeys in the NRZ has gone through the roof. Invariably, our analysis indicates that in over 95% of cases that end up at VCAT, the applicant gets his 2 dwellings!
- The only ‘positive’ out of all this is that council has at least had the good grace to publicly admit how inept it has been – there has been community feedback regarding the overall process including:
- Requests for city-wide dwelling forecasts that inform the structure planning
- Improved communication to all residents and landowners within the study area for the next stage of engagement
- An appropriate level of detail for best consideration of positive and negative impacts of the proposals
Ensure the next round of consultation period allows affected parties enough time to read through the released information in detail, attend information sessions and provide a response to Council.
Surely this should have been a given right from the start?
THE UGLY
The ‘ugly’ aspect of this agenda is council’s continued inability to reveal the truth in an honest and upfront manner. Instead we are presented with the usual spin and misleading statements designed to basically cover up what actually happened. Here is the offending extract –
We have commented on this issue previously, (see: https://gleneira.wordpress.com/2014/08/19/inept-or-indifferent/) but will repeat the evidence which shows beyond any shadow of a doubt that:
- Senior officers knew of this ‘error’ back in July 2013
- That from the department’s point of view this was not an ‘error’ but a required trade off for the introduction of the residential zones
- Council also knew that at least one case went to VCAT where the developer tried to use this clause to his advantage (unsuccessfully).
- To now turn around and claim that this ‘error’ has only been ‘recently’ discovered is a blatant lie! Even if Akehurst and Camera (the ‘architects’ of the residential zones) are now gone, Torres is still at council as are many other senior planners. Where is corporate memory? Why can’t council simply admit the truth?




October 15, 2017 at 9:44 AM
Extension, extension, extension, extension and repeat for everything related to planning. The consultation and time spent on structure planning is undermined by the additional development occurring making it a less and less worthwhile process. The down stream delay in neighbourhood centres planning is even worse. Extension, extension, extension, extension and repeat, only in Glen Eira.
October 16, 2017 at 9:30 AM
Would not hold my breath on the new dates either. Much will depend on what happens with Gillon and whether they get their 4000 dwellings.
October 16, 2017 at 5:42 PM
Dead right extension. We’ve already got 7 and 8 storeys in north Caulfield and 5 and 6 storey stuff wanting to go into McKinnon. Ormond thanks to Wynne has got 13. Council sits back and says the more the merrier. Anyone heard anything more about the activity centre policy that they were spruiking. Sounds like its quietly died.
October 15, 2017 at 10:06 AM
Wow caught with their pants down good an proper
October 15, 2017 at 11:38 AM
Thank you for bringing all of this out into the open. It reinforces my skepticism about anything council does and how its actions are reported.
The differences between the Banyule consultation and what residents here have experienced is very telling. Banyule saw nothing wrong in setting up a community reference group right from the start. Plus they used technology wisely with interactive maps.
I’ve looked through the agenda and another item that pertains to the above is the terms of reference for advisory committees. The East Village group isn’t included in the list. I interpret this as meaning it will be a secret group with no agendas and no minutes published. The ordinary resident won’t have a clue as to what is going on there until everything is decided and it’s too late to offer wide community views. I’d like to know how a community representative on this committee is supposed to represent the wider community views when the community isn’t being informed as to what is going on and we don’t even know who is on the committee. Tokenism for sure.
October 15, 2017 at 5:43 PM
We’ve received the following link. Goes to show what can be done if there’s a will to do it! – https://www.yoursay.bayside.vic.gov.au/managing-growth-in-cheltenham/news_feed/eoi-community-advisory-group
October 16, 2017 at 1:28 PM
I’m hoping the webcasting of council meetings will make the meetings more accessible for residents, whether resident choose to watch and listen is another story.
One of the good thing is we will be able to see how and on what side of the fence our elected reps vote. The wheelers and dealers like Hyams and Magee should be losers in all this; as they are masters of staying one thing in public and voting for the opposite, knowing full-well their deeds will never be recorded.
October 16, 2017 at 6:40 PM
To late for excuses. If consultation was done proprrly from the start structure plans would be nearly done. Now we’re toblame. Council brilliant i n turning black into white and bullshitting everyone.
October 17, 2017 at 7:56 AM
“Where is corporate memory? Why can’t council simply admit the truth?”
The Corporate structure is the wrong structure to manage a community. Corporations have evolved on the creed of exploitation and greed, it’s a bureaucratic top down self serving machine with a demonstrative very selective memory. Corporations where never envisaged or even imagined that they would or could manage a community.
To have 9 councillors nailed onto the sole of this perverted consortium of self-interest, ineptitude, and perpetual PR fantasies, only complicates it primary function of delivering profits to shareholders through exploitation of others.
This is no way to manage community or a corporation. If I’m living within a corporation community I want my job description
October 17, 2017 at 9:08 AM
Job description for employees
Keep residents away
Keep them ignorant
Lie if you have to
Always cover your arse