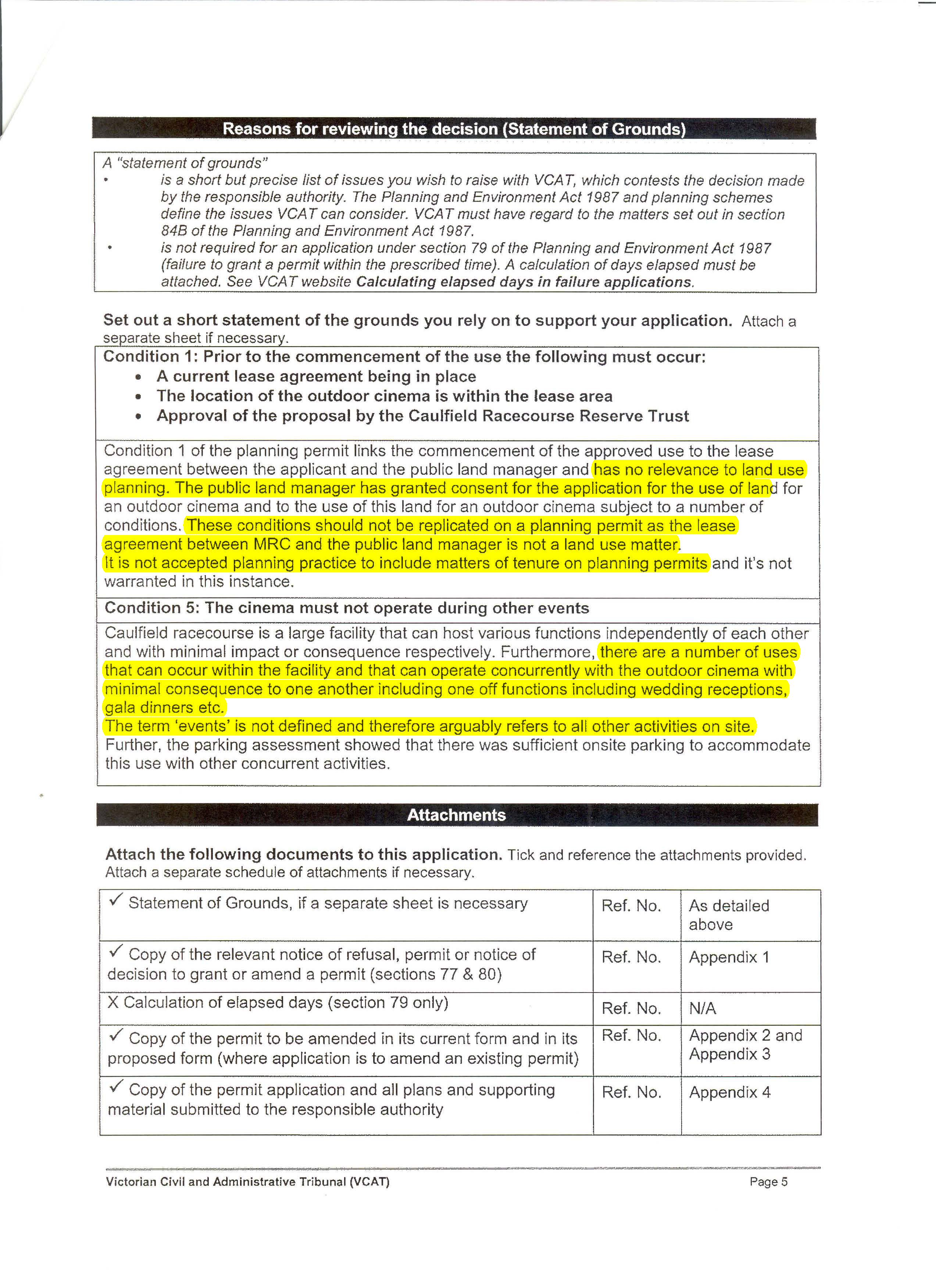
Here is a summary of the developer’s ‘presentation’ to residents at the recent Planning Conference.
ROB MILNER: said that he ‘understands that a lot of you just don’t want change’ (audience – howls of derision). ‘There will be change’ at Virginia Park ‘regardless’. Conceded that he couldn’t on the night answer everyone’s points or convince them otherwise but wanted people to ‘understand’ the plans in ‘proper context’. Said that change ‘will happen regardless of tonight’. Originally land was industrial with about 4000 workers as cigarette producers. ‘It had to move on, it had to change’ and became ‘more of a business environment’. Claimed that now it’s an employment centre for ‘many people’ under 30. Also about 1900 cars on the site. Claimed that the ‘reality’ is that it’s a ‘struggle to keep’ the jobs there. If things don’t change then ‘there would be a gradual decline of the jobs’ in part because larger sites and ‘cheaper land’ becomes available on the ‘outer fringe’ of Melbourne. So the jobs ‘that people around here’ are enjoying will start to ‘evaporate’. Question is ‘what change is appropriate’ and not ‘should there be change’.
In response to the ‘concerns’ expressed about notification, claimed that Gillon Group ‘hand delivered 12,000 notices’ about the forum held by the group. Meetings were in evening and morning and the ‘turnout’ was about 50 – 60 people. Said that there is not attempt to ‘hide this’ and that they ‘have gone out of their way’ to inform people. Claimed that the figure of 4,500 dwellings was part of a ‘piece of work’ that was done to ‘try and understand’ the ‘infrastructure’ needs of the site. They aren’t ‘applying for 4000 dwellings’ but only ‘1,250’ dwellings ‘as a maximum’. Went on to say that simply because there is a plan about 10 storeys it’s not ‘like a jug that you fill up with water’. Thus with only 1250 dwellings you ‘couldn’t possibly build’ to the ‘envelope’ that’s been approved. What will happen is that it’s ‘taken to the market’ and there is ‘interest’ or there isn’t ‘interest’ and there will be ‘something less than 1200’. Gillon is therefore a ‘company’ realising ‘change has to occur’ and is looking at Government policy that asks for the development of ‘mixed use centres’ and try to build ‘local public transport’ like getting ‘better bus services in this area’. Since Glen Eira was first out of the blocks with the zones, that protected ‘vast areas’ of land and left only ‘very small pockets’ to develop and contribute to ‘a more diverse housing stock’. Gillon takes this and believes there should be a ‘mix of uses’ that ‘tries to retain a lot of the white collar jobs’ and a ‘greater range of services’ enjoyed by the neighbourhood plus ‘some different housing opportunities’.
On ‘business impact’ said that there would come a time when ‘more evidence is brought to bear’. Said that Carnegie is ‘interesting’ because they ‘brought in’ a huge 5000 square metre supermarket ‘alongside the existing one’ plus there’s an Aldi. And ‘the centre probably thrived for it’. It’s these supermarkets that ‘are saying to us’ that East Bentleigh is ‘one of the poorest served’ areas for supermarkets and they want to build on Virginia Estate. Said that Gillon is doing things in ‘reverse’ because they’ve got ‘a very large employment base on the site’ even before ‘we start’ who have ‘poor access to convenience services’. This group will ‘benefit’. Their ‘advice’ is that they are in an area that has the least supermarket floorspace in the ‘whole of Melbourne’. They used a ‘reputable’ research company and retailers are telling them that the findings are ‘on the mark’. Admitted that ‘there has never been’ any shopping centre development that hasn’t had ‘some impact’ on its neighbouring centres but ‘it’s the degree’ of the impact that is the ‘issue’ and when East Bentleigh will only have a 9.1% impact then that’s within the norm of other developments. (interjections from audience with statements that impact is more like 25%).
Gillon applied for traffic lights on South Drive/East Boundary Road. Currently the area is ‘not a safe environment’ for cars trying to ‘get in and out’ of the Park. It can’t be a ‘do nothing’ situation so the ‘set of lights’ will be a ‘positive’. The VicRoads ‘issue is not to suggest that the site is snap frozen’. Gillon will ‘work through with’ VicRoads because there is ‘a capacity’ to ‘accommodate the growth’. Their concern is to ‘improve safety’. The other concern is PTV (Public Transport Victoria). Said there’s GESAC nearby which is a ‘major facility’ for the community and taken together with the employment at Virginia Park there is the ‘basic ingredients’ for the ’20 minute neighbourhood’ of Plan melbourne and ‘all that is missing is the residential’. The PTV isnt’ saying that there shouldn’t be development but their concern is about ‘putting in a bus stop’. Said ‘we can’t build a railway, can’t build a tram’ but there is the opportunity for ‘better public transport’.
On open space ‘we had long discussion with Council’ and during these discussions Council ‘lifted’ its open space levy to 5.7%. ‘They asked us could we please provide a link’ between Marlborough Reserve & Virginia Park and ‘the land at number 1 Barrington’. Council’s open space strategy defines this part of Glen Eira as ‘one of the better served’ locations with open space and that’s ‘why they are asking us for money rather than land’. ‘It’s their choice’ and if ‘approved it’s for you to approach council and debate that point’. ‘We’re merely responding to the direction we’ve been asked to follow’. The money they give will go ‘towards the enhancement of open space’.
Said that traffic ‘will not be on local streets’ because ‘there won’t be any access to the site’ apart from what already exists. All traffic will go onto East Boundary Road and if people live there then they have to accept that traffic ‘will grow’ since it’s a major arterial road.
On infrastructure said that water does move down ‘through that area’ into Barrington Street. Said there’s an ‘overland flow’ that has ‘been there since creation’. Development creates the ‘oppolrtunity to fix the problem’ and not create new ones. They’ve done the research in order to understand the ‘capacity’ and the movement of water (that’s why the 4000 dwellings scenario) so that the ‘net result’ will be to ‘find a solution’. Said that there ‘should not be a net increase’ and there ‘should be a net improvement’ in regard to water flow onto neighbouring properties.
They aren’t ‘proposing to build a school’ but it is an issue. Said that the number of children living on the site will be the result of the ‘housing mix’ and the number of dwellings and is not an issue that is unique to East Bentleigh. With town houses they are ‘looking at’ numbers of two to 2.5 people per dwelling. If they get to 1200 dwellings then that means 2,500 people.
Finished by saying that Gillon believes they are bringing the ‘opportunity’ for people to ‘walk to convenience shops’ and which ‘supplement the services’ that are already there. They are also ‘protecting and trying to create more jobs’ for people ‘in this local area’. Said that ‘we are trying to protect the character of your area’. The site is large and ‘we’re trying to give it a residential character’ to match the surrounds. They ‘provide buffers’ on boundaries and ‘support’ aims for ‘improved transport’ and ‘trying to make’ the roads ‘safer’. Gillon thinks ‘we have something worth considering’.
Note: people then wanted to ask questions and someone called out ‘are you doing it for profit as well?’ Pilling didn’t allow questions, explained when the agenda would come out and closed the meeting.






